See Google Scholar for up to date list
Nanometer-precise DSA with DNA
Yunjeong Park and Grigory Tikhomirov
Novel Patterning Technologies 2025 13427, 134270M http://dx.doi.org/10.1117/12.3050891 (paper and video)

Multimodal imaging approach to track theranostic nanoparticle accumulation in glioblastoma with magnetic resonance imaging and intravital microscopy
Giovanni Marco Saladino, Dilyana B. Mangarova, Kerem Nernekli, Jie Wang, Giacomo Annio, Zahra Shokri Varniab, Zubeda Khatoon, Goreti Ribeiro Morais, Yifeng Shi, Edwin Chang, Laura J. Pisani, Grigory Tikhomirov, Robert A. Falconer, Heike E. Daldrup-Link
Nanoscale 2025 https://doi.org/10.1039/D5NR00447K

DNA-Guided Self-Assembly of Carbon Nanotubes and Quantum Dots
Durham Smith and Grigory Tikhomirov
ACS Applied Optical Materials 2025 https://doi.org/10.1021/acsaom.4c00534

AI-based Prediction of Protein Corona Composition on DNA Nanostructures
Jared Huzar*, Roxana Coreas*, Markita P. Landry, Grigory Tikhomirov
ACS Nano 2025 https://doi.org/10.1021/acsnano.4c12259

Two-Photon Intravital Microscopy of Glioblastoma in a Murine Model
K. Nernekli, D. B. Mangarova, Y. Shi, Z. S. Varniab, E. Chang, O. Z. Tikenogullari, L. Pisani, G. Tikhomirov, G. Wang, H. E. Daldrup-Link.
JoVE Journal of Visualized Experiments, 2024 DOI: 10.3791/66304

Nanopatterned Monolayers of Bioinspired, Sequence-Defined Polypeptoid Brushes for Semiconductor/Bio Interfaces
Beihang Yu, Boyce S. Chang, Whitney S. Loo, Scott Dhuey, Padraic O’Reilly, Paul D. Ashby, Michael D. Connolly, Grigory Tikhomirov, Ronald N. Zuckermann, and Ricardo Ruiz
ACS Nano, 2024 https://pubs.acs.org/doi/10.1021/acsnano.3c10204

Non-complementary computation
Philip Petersen and Grigory Tikhomirov
Nature Chemistry, 2023 https://www.nature.com/articles/s41557-022-01115-8

Beyond DNA: New Digital Polymers
Grigory Tikhomirov
Natural Computing, 2023 Visions of DNA Nanotechnology at 40 for the Next 40 https://link.springer.com/chapter/10.1007/978-981-19-9891-1_6

small: A Programmatic Nanostructure Design and Modelling Environment
Durham Smith and Grigory Tikhomirov
Preprint: arXiv:2111.15184 Repository: github.com/DurhamSmith/small

NanoFrame: A web-based DNA wireframe design tool for 3D structures
Samson Petrosyan and Grigory Tikhomirov
Preprint: arXiv:2111.13992 Repository: github.com/tilabberkeley/nanoframe Website: nanoframe.org

Triangular DNA Origami Tilings
Grigory Tikhomirov*, Philip Petersen*, and Lulu Qian,
Journal of the American Chemical Society, 140, 17361-17364, 2018. (pdf) (supp info)

Information-based autonomous reconfiguration in systems of interacting DNA nanostructures
Philip Petersen*, Grigory Tikhomirov*, and Lulu Qian
Nature Communications, 9:5362, 2018. (pdf) (supp info) (supp movie)

Fractal assembly of micrometre-scale DNA origami arrays with arbitrary patterns
G. Tikhomirov*, P. Petersen*, L. Qian.
Nature, 552:67–71, 2017. (pdf) (supp info)

Programmable disorder in random DNA tilings
G. Tikhomirov*, P. Petersen*, L. Qian
Nature Nanotechnology, 12:251–259, 2017. (pdf) (supp info)

High Field Solid-State NMR Spectroscopy Investigation of 15N-Labeled Rosette Nanotubes: Hydrogen Bond Network and Channel-Bound Water
H. Fenniri, G.A. Tikhomirov, D.H. Brouwer, S. Bouatra, M. El Bakkari, Z. Yan, J.-Y. Cho, T. Yamazaki
Journal of the American Chemical Society, 2016, 138, 6115-6118

Bioorthogonal cyclization-mediated in situ self-assembly of small-molecule probes for imaging caspase activity in vivo
D. Ye, A.J. Shuhendler, L. Cui, L. Tong, S.S. Tee, G. Tikhomirov, D.W. Felsher, J. Rao.
Nature Chemistry, 2014, 6, 519-526

Development of Novel Activatable Theranostic Nanoparticles for combined Cancer MR Imaging and Therapy
C. Ansari*, G.A. Tikhomirov*, S.H. Hong, R.A. Falconer, P.M. Loadman, J.H. Gill, R. Castaneda, F.K. Hazard, L. Tong, O.D. Lenkov, D.W. Felsher, J. Rao, H.E. Daldrup-Link
Small, 2014, 10, 566-575

Caspase-responsive smart gadolinium-based contrast agent for magnetic resonance imaging of drug-induced apoptosis
D. Ye, A.J. Shuhendler, P. Pandit, L. Cui, G. Tikhomirov, B. Rutt, J. Rao.
Chemical Science, 2014, 5, 3845-3852

Iron administration before stem cell harvest enables MR imaging tracking after transplantation
A. Khurana, F. Chapelin, G. Beck, O.D. Lenkov, J. Donig, H. Nejadnik, S. Messing, N. Derugin, R. C.-F. Chan, A. Gaur, B. Sennino, D. M McDonald, P.J. Kempen, G.A. Tikhomirov, J. Rao, H. E Daldrup-Link.
Radiology, 2013, 269, 186-1977

Photoacoustic Activatable Probe for Furin-like Enzyme Activity Imaging in Living Subjects
A. Dragulescu-Andrasi, R.S. Kothapalli*, G.A. Tikhomirov*, J. Rao, S.S. Gambhir.
Journal of American Chemical Society, 2013, 135, 11015–11022

MR Imaging of Tumor-Associated Macrophages with Clinically-Applicable Iron Oxide Nanoparticles
H.E. Daldrup-Link, D. Golovko, D. DeNardo, B. Ruffell, R. Castaneda, C. Ansari, J. Rao, G.A. Tikhomirov, M. Wendland, C. Corot, L.M. Coussens
Clinical Cancer Research, 2011, 17, 5695-5704

DNA-Based Programming of Quantum Dot Valency Self-Assembly, and Luminescence
G. Tikhomirov*, S. Hoogland*, P. Lee, A. Fisher, S.O. Kelley, E.H. Sargent.
Nature Nanotechnology, 2011, 6, 485-490

Nucleic Acid-Passivated Semiconductor Nanocrystals: Biomolecular Templating of Form and Function
N. Ma*, G. Tikhomirov*, S.O. Kelley
Accounts of Chemical Research, 2010, 43, 173-180

Hierarchical Self–Assembly of Organic Prolate Nanospheroids from Hydrophobic Rosette Nanotubes
G. Tikhomirov, T. Yamazaki, A. Kovalenko, H. Fenniri
Langmuir, 2008, 24, 4447-4450

Synthesis of Hydrophobic Derivatives of the G^C Base for Rosette Nanotube Self–Assembly in Apolar Media
Tikhomirov, M. Oderinde, D. Makeiff, A. Mansouri, W. Lu, F. Heirtzler, D. Y. Kwok, H. Fenniri.
Journal of Organic Chemistry, 2008, 73, 4248-4251

Publications from undergraduate research
Heterocycles with a bridging nitrogen atom 15. The novel recyclization of dipyrido[1,2-a:1’,2’-c]imidazolium salts to pirydo[1,2-a]benzimidazole-8-carboxaldehydes
E. V. Babaev, G. A. Tikhomirov
Journal of Heterocyclic Compounds, 2005, 119-123

New volatile nitronium nitratometallates – Synthesis and Crystal Structure NO2[Fe(NO3)4], (NO2)[Zr(NO3)5], (NO2)[Hf(NO3)5]
G. A. Tikhomirov, S.I. Trojanov I.V. Morozov, K.O. Znamenkov
Zeitschrift fur anorganishe und allgemine Chemie, 2002, 22-29

Nitrosonium Nitatometallates of Manganese and Cobalt, M(NO3)2, (NO)Mn(NO3)3, and (NO)2Co(NO3)4
G. A Tikhomirov, S. I. Trojanov, K. O. Znamenkov, I. V. Morozov.
Zeitschrift fur anorganiсhe und allgemine Chemie, 2001, 627-632

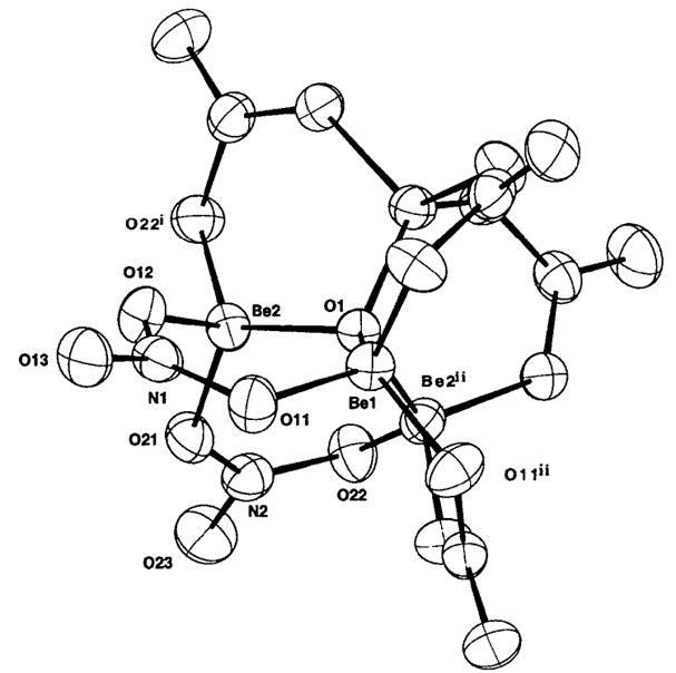
Crystal Structure of Beryllium Nitrate Complexes (NO)2[Be(NO3)4] and Be4O(NO3)6
S. I. Trojanov, G. A. Tikhomirov, K. O. Znamenkov, I. V. Morozov.
Russian Journal for Inorganic Chemistry, 45, 2000, 1791-1798
